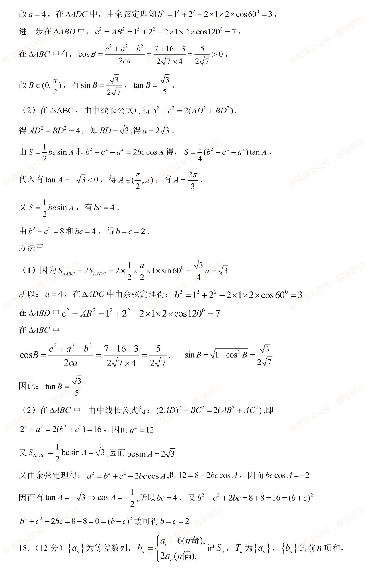
海南新课标二卷数学试题及答案
海南新课标二卷数学试题及答案高清图
海南新课标二卷数学试题目前已经出炉了!海南新课标二卷数学试题及答案高清图是什么呢?下面是小编为大家整理的海南新课标二卷数学试题及答案,欢迎大家分享收藏!
海南新课标二卷数学试题及答案高清图





















高考志愿填报怎么填报?
首先高考考生可以根据位次换算法确定自己要报考的大学,确定好大学目标。不过每一年高考考生的人数、试题的难度以及高校招生计划都会发生变化,所以每一年的院校录取分数都会有所波动,但是排名基本上来说相对比较稳定,所以考生最好是采用排名法对自身报考的院校进行定位。
第二,高考考生可以根据自己的兴趣和爱好来确定自己的专业方向,志愿填报之前我们可以对自己的方向做一个具体的了解。不要盲目追求热门专业,没有什么是永恒不变的。要相信只有感兴趣的事情才能有动力去学习,所以选专业一定要遵从内心的选择,而不是盲目跟风。
第三,要学会稳定目标,可以按照分数从高到低初选院校,一般可以从自己分数的上20分,下30分区间内进行院校选择。这样可以更加的稳妥,确保心中有数。
第四,学校顺序的确定不一定是冲稳保,而是要结合自己的意向,高考录取的可能做最优化的设定,尽可能把自己最满意的大学往前排。不要盲目的“冲一冲”,避免滑档,也不要过分的”保一保“避免高分低就的局面。

高考志愿填报可以在手机上进行吗?
手机能报高考志愿。高考填报志愿是不限定用手机还是电脑的。只是通常大家用电脑填报志愿会更加的便捷,网络也比较稳定,更有利于志愿的填报。登录省招办指定网页,打开浏览器,输入网报网址,如果网络管理员已经将网报地址设置为浏览器的主页,打开浏览器就可以。
手机上填容易出现乱码,并且手机屏幕比较小,造成填报错误,填报志愿环节对于考生来说十分重要,不允许有一点失误。电脑操作方便,且不容易出现数据失误,首选的当然是电脑。因为用手机填报志愿,系统不同,容易造成填报错误,为了更为直观方便的进行志愿填报建议还是使用电脑。
高考生使用手机填报注意事项
1、高考生在填报的时候一定要核对好个人填报的信息、专业及院校。志愿的选择极为重要,除此之外,考生还要考虑好是否服从条件,不要忘记点击服从调剂按钮。
2、完成填报的考生还要注意,填报结束后,最好再进行检查,安全退出系统10分钟后再次登入网页,如果所填信息无误才表明志愿填报工作完成。
3、考生和家长在填报结束后,一定要妥善保管好网报密码,防止丢失和泄露。逾期不得再登录修改,不上网填报志愿的考生按自动放弃处理。