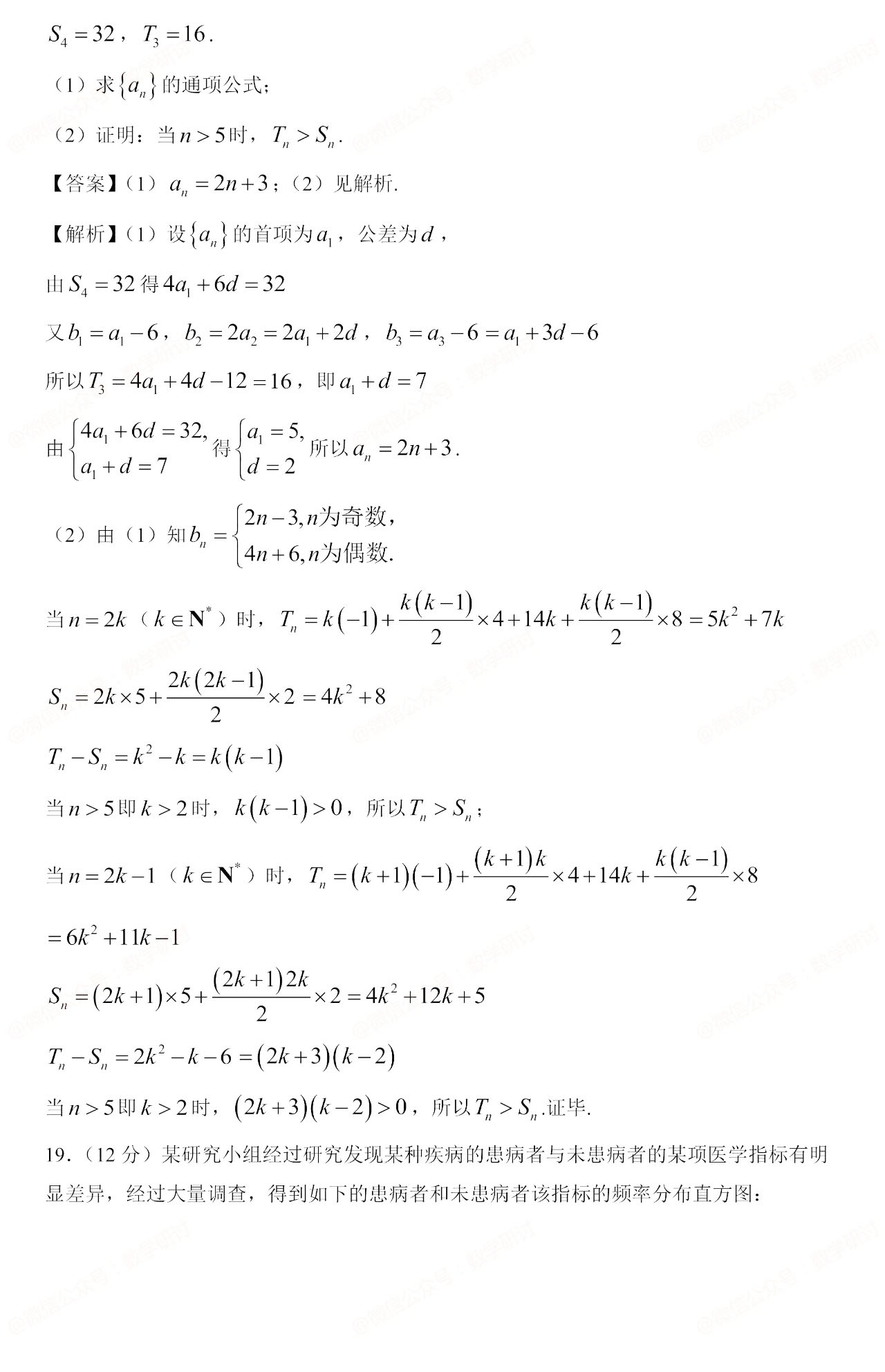
2023年高考数学新课标2卷真题答案高清图片
2023年高考数学新课标2卷真题答案高清图片(完整版)
023年全国高考将进入到第二天,全国甲、乙卷区省份今天正式结束考试。大家有没有了解2023年高考数学新课标2卷真题答案。下面小编给大家带来2023年高考数学新课标2卷真题答案高清图片,希望大家能够喜欢。
2023年高考数学新课标2卷真题答案高清图片





















高考数学必考题型及答题技巧
高考数学是各科中最重要的一门科目之一,对于理科与文科的考生来说都是必考的科目。下面是高考数学中必考题型及答题技巧。
一、函数函数是高考数学必考内容,一般会考到一元函数、二元函数和反函数三个方面。解题时需要注意以下几点:
1. 熟练掌握函数的定义、性质和基本公式;
2. 注重函数图像、导数、零点、最值等概念的理解和应用;
3. 注意函数解析式中的系数、指数和常数项对函数图像的影响;
4. 注意应用题中函数的实际意义。
二、数列数列是高考数学的常见题型,包括等差数列、等比数列、斐波那契数列等。解题时需要注意以下几点:
1. 熟练掌握数列数学归纳法和递推公式计算方法;
2. 注意等差数列、等比数列的通项公式和求和公式;
3. 注意解题过程中对于题意的理解,需要结合实际应用问题去解决;
4. 在解决未知数问题时,需要注意基本计算思路及公式应用。
三、概率概率是高考数学的常见题型,包括基本概率、条件概率、事件独立性、随机变量等。解题时需要注意以下几点:
1. 熟练掌握概率理论的基本定义和公式;
2. 注意条件概率和事件独立性的概念和应用方法;
3. 注意随机变量、期望、方差的计算方法;
4. 在解决实际问题时,需要注意对题意的理解和抽象、建模以及模型的准确性和合理性。
四、三角函数三角函数是高考数学的必修内容,包括正弦函数、余弦函数、正切函数等。解题时需要注意以下几点:
1. 熟练掌握三角函数的概念、性质、公式等;
2. 注意三角函数之间的关系和复合三角函数的解法;
3. 注意三角函数在平面几何和立体几何中的应用;
4. 在解决实际问题时,需要注意题意的理解、建模、数学分析和解决问题的方法。
五、解析几何解析几何是高考数学的常见题型,包括平面直角坐标系和空间直角坐标系两方面。解题时需要注意以下几点:
1. 熟练掌握二维坐标系和三维坐标系的基本概念、性质和公式;
2. 注意平面图形和立体图形的坐标计算和解析几何的解题方法;
3. 注意解析几何与其他数学内容之间的联系和应用;
4. 在解决实际问题时,需要注意对题意的理解和建模,以及数学模型的合理性和可行性。
2023高考志愿可以填报几个
1、考生在填报志愿时,每个学校后面都有6个空填的专业,也就是说最多可以填六个专业志愿。当然,如果你想读的专业填不够6个,你可以愿意填几个就填几个,但是还是要尽量填满。
考生在填报志愿的时候,要注意第一个专业志愿的填报,这是最重要的。但是如果你没有被第一个专业志愿录取,则会从剩下的5个专业中考虑录取。所以,如果是为了增加录取的机会,还是建议大家把6个志愿都填报了。
2、考生可以填报4个学校,每个学校可以填报6个专业。在填报志愿时,注意院校和专业代码一定要准确。
考生在填报志愿的时候,可以把第一个学校填的稍微高一些,第二个和第三个填和你成绩排名差不多的,第四个可以填的稍低一些,这样可以保底。这样拉开梯度,有利于避免落榜。