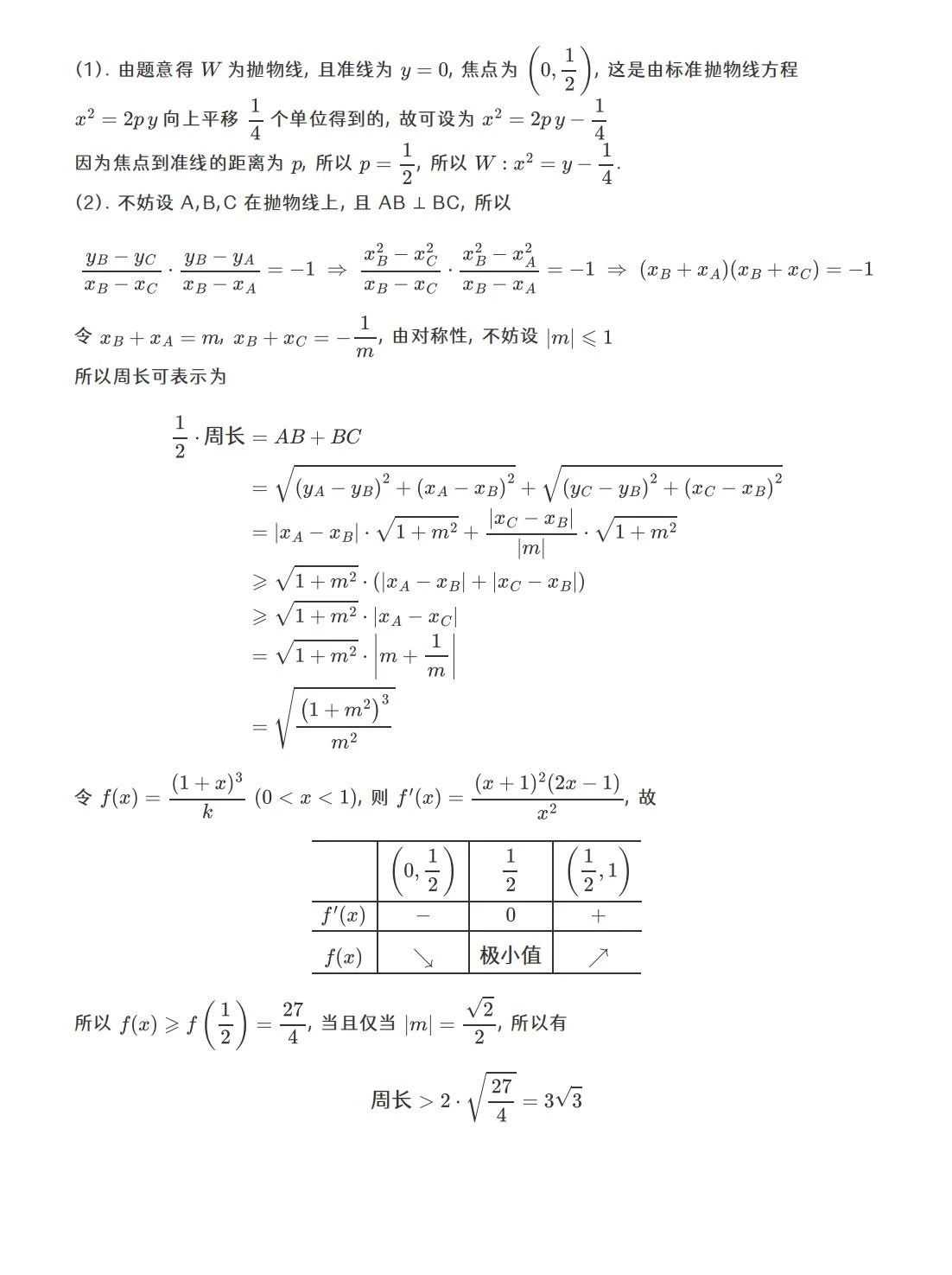
2023年新高考全国一卷数学试卷及答案解析图片版
2023年新高考全国一卷数学试卷及答案解析(图片版)
全国高考6月7日正式开始考试,本文为大家整理了2023 高考数学答案解析及真题汇总,下面是小编整理的2023年新高考全国一卷数学试卷及答案解析图片版,希望能够帮助到大家。
2023年新高考全国一卷数学试卷及答案解析图片版











高考如何缓解紧张情绪
1、按时入睡
高考前,一些学生可能无法按时睡觉。受到高考的影响,考生的心理因素往往表现得较脆弱,出现焦虑而难以入睡的现象。出现这种情况,考生自己应该学会放松,适当做一些运动,可以促进睡眠。
2、娱乐散心
高考给我们带来的是一种肃然起敬,因为崇敬,所以在乎,因为在乎,继而紧张。我们紧张,或许是我们更看中自己的明天,家人的威望,亲朋的期许。何不来一些娱乐呢?考试前,可以陪朋友、家人聊聊天,看看电视,放松放松心情,但是不要盲目地娱乐,电脑游戏等还是不要玩为好,尽量用不影响考试又对缓解紧张有利的事情来放松自己。
3、自我疏导
高考在所难免,何不放开心胸,豁然接受。高考前,应该时刻提醒自己高考虽然重要但不可怕,只要以平常心对待即可游刃有余,力挽狂澜。平时应该以高考的规律约束自己,答题时也要像平时一样不要怯场。
4、做好准备
高考时,可能因为某些不必要的考前失误导致紧张,所以高考前应时刻做好准备。查看准考证的要求,到时便胸有成竹。准备所需考试工具,轻松迎接高考。另外,考生可以阅读一些高考考场相关的知识,减少压力和紧张,做好一切充分准备。
5、适当倾诉
向家人、好友说出心中的焦虑可以一定程度上缓解考前紧张,亲朋好友的安慰是你高考路上最大的鼓励,也是高考取得成功的精神支柱。心中的疑虑不要积压在心中太久,久而久之待高考来临,遇燃眉之急便对高考产生严重影响,从而可能高考失利。
6、自我调节
高考时,进入考场四处观望熟悉考场环境,正式考试前可与周围考生交流交流,适可而止,以缓解紧张程度。深深地吸一口气,然后轻轻吐出,反复如此可缓解压力。考试时,暗暗自语提醒自己一定可以,坚持永不放弃,永不妥协,永不气馁。
高考需要准备哪些东西
1.首先我们要带上身份证及准考证,准考证和身份证是考试可以进入考场的证明,缺一不可参加考试的时候是可以带透明小袋子装文具及准考证这些东西的,透明袋子上面不可存在任何问题或标签防止不必要的麻烦。所以大家一定要将身份证与准考证放进去,记住就算考试结束,准考证也要保留,查分数、大学报到可能需要。
2.考试的时候需要的带的文具有:
a.黑色字迹的钢笔(不可使用蓝色或红色水性笔,黑水水性笔一般准备0.5mm的即可多准备几支,防止出现没水的现象,购买时注意试笔颜色是否黑色以及运笔流畅)
b.直尺、三角板、(一般准备直尺和三角尺即可,购买时注意选择尺子边缘处有斜度的方便绘图使用)。
c.2B铅笔,铅笔刀(2B铅笔的话可以提前削好,笔尖尽量钝一点,不要太尖,容易断)。
d.圆规(画图的时候使用)
e.橡皮(选择绘画专用橡皮擦拭笔迹较为干净,而且不损伤纸张),
以上相关文具可以提前准备两份以防万一,大家也可以去正规商店购买套装,使用之前一定要先试用一下,以防是坏的,。
除了以上的文具我们在考试的时候还可以带上水杯和餐巾纸,毕竟一场考试下来将近2个小时,是需要补水的。遇到到卡壳的题,也可象征性地喝口水,让自己放松一下。大家都知道进入考场的时候是不允许带有任何电子产品,以防作弊,但是可以戴机械手表进场,大家可以关注考试时间,最后小编要提醒的是千万不要戴电子表哦。
高考是每年的几月几号
每年的高考日期是6月7日、8日,有些地方延续到9日,而有些地方延续到10日。高考时间一般在6月开始,具体时间要看各个省市安排。