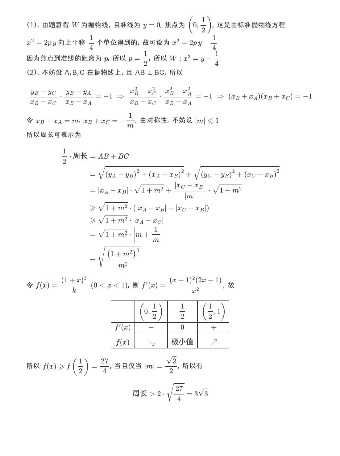
广东高考数学2023试卷及答案
广东高考数学2023试卷及答案
2023年高考广东卷已经结束,想必大家都十分关注有关于2023年高考广东卷各科试卷及答案。今天小编整理了广东高考数学2023试卷及答案供大家参考,一起来看看吧!
广东高考数学2023试卷及答案










2023广东高考时间是什么时候
广东高考时间安排:
6月7日 语文9:00-11:30 数学15:00-17:00
6月8日 物理/历史9:00-10:15 外语15:00-17:00
6月9日 化学8:30-9:45 地理11:00-12:15 思想政治14:30-15:45 生物学17:00-18:15。
高考模式有哪几种
目前现行的有三种高考模式,传统高考模式(文理分科)、3+3高考模式、3+1+2高考模式。
3+3新高考模式:高考“3+3”模式指考生总成绩由统一高考的语文、数学、外语3个科目成绩和高中学业水平考试3个科目成绩组成。计入总成绩的高中学业水平考试科目,由考生根据报考高校要求和自身特长,在思想政治、历史、地理、物理、化学、生物等科目中自主选择。
“3+3”模式:3门必选科目,语文、数学、外语每门满分150分;3门选考科目,考生在物理、化学、生物、思想政治、历史、地理6门中任选3门,每门满分100分(上海为70分),选考科目实行等级赋分制度;总分为750分(上海为660分,海南为900分)。
3+3模式的利弊:
优势:考生可以自己选择喜欢的科目学习,而且还可以选择自己擅长的科目,充分发挥自己的天赋和爱好,对于专业的匹配度也比较高,有利于素质教育。
劣势:从目前上海和浙江(浙江等级考中多一门技术,也叫7选3高考模式)的新高考实施情况来看,很多学生在选科的时候,都不是凭借兴趣爱好来选择的,而是按照学科难易程度来选。由于物理和化学较难,所以,选择的人数会偏少,长此以往,我国物理、化学方面的人才可能会越来越少。另外,因为高考改革,所以很多学校都开始实施走班制教学,而走班制在实施的过程中也有很多的问题。一些普通高中在实施走班制的过程中,往往师资力量不堪重负,使得教与学的效果不甚理想。
3+1+2新高考模式:
新高考3+1+2模式是一种新的高考模式,另外一种新高考选科模式是3+3模式。高考3+1+2科目中,“3”就是语文、数学、英语3个主科为必考科目,每科满分150,使用高考的原始成绩计入高考成绩,其中,外语科目考试由听力和笔试两部分组成,待条件成熟后提供两次考试机会。“1”是物理和历史为2选一科目,每科满分100,也是使用高考的原始成绩计入高考成绩;“2”是化学、生物、政治、地理四科中任选两科,每科满分也是100分,按等级赋分的方式计入高考总成绩。高考满分150不变。