人教版初中数学下册【七到九年级】电子教科书下载网址
七七范文分享
335628
数学一直以来都是被诟病的一门学科,不仅是难度较大,而且逻辑推理要求也是非常高的,假期期间同学们有做好学习计划吗?下面是小编给大家分享的人教版初中数学下册【七到九年级】电子教科书及复习资料,希望对大家有所帮助。
人教版初中数学下册【七到九年级】电子教科书下载网址链接:
http://bp.pep.com.cn/jc/yjcz/czsxjc/
初中数学常用公式
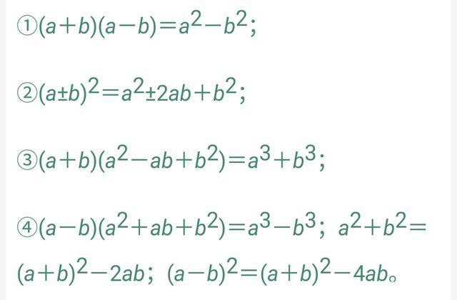
1、乘法与因式分解

2、幂的运算性质

相关文章:
1.分享五篇初中数学老师自我评价范文
2.如何培养初中数学思维能力及培养办法
3.初中数学常见四大误区汇总
4.初中数学教师个人述职报告范文5篇
5.初中数学思维能力的培养办法